Filter(mask)를 만들어 Image 좌표마다 적용해, 계산된 결과값을 새로운 Intensity 값으로 교체하는 방법이다.
Correlation
Image의 모든 지점마다 filter를 적용해, 새로운 이미지를 얻는 과정이다.

가운데가 1이고 나머지가 0인 이미지에 필터를 correlation하면, 180도 뒤집힌 결과를 얻을 수 있다.

Convolution
Correlation과 같은 과정이지만, filter를 뒤집어서 적용시킨다는 차이가 있다.

pre-rotate filter를 사용해 원하는 값을 얻게 된다.

위 결과를 통해, 만약 filter가 symmetric이면 Correlation=Convolution임을 알 수 있다.
Correlation과 Convolution

f는 symmetric이고 g는 symmetric이 아니다. 그렇기에 f*g의 correlation과 convolution의 결과는 같지만, g*f의 correlation과 convolution의 결과는 다르다.
f*g나 g*f에 대해서 같은 결과를 보이는, Convolution을 쓰는 것이 더 안정적임을 알 수 있다. 그럼에도 correlation을 배우는 이유는, 만약 filter가 symmetic이라면 convolution과 결과가 같으며, 수학적으로 계산이 편해지기 때문이다.
Spatial Filtering

filter의 크기는 (odd)x(odd)로 한다.

Smoothing Spatial Filters
Noise 제거가 목표이다.

Average Filter
irrelevant detail(filter mask보다 작은 연속적인 신호들)을 지울 때 사용한다.

pixel간 variation이 감소하게 된다. 또한 surrounding과 다른 value를 eliminate하는 효과가 있다.
mask의 size와 shape에 따라 smoothing 효과가 다르게 나타날 수 있다.
noise 감소의 효과를 가지지만, 보존해야 하는 feature도 blur될 수 있다.
Gaussian Filter
average filter와 유사한데, 정규분포를 사용한다.

mask의 크기가 클수록, 이상적인 결과를 도출한다.
weighted average이기 떄문에, central pixel의 영향이 크다. 이로 인해, 비슷한 size의 average filter보다 smoothing이 부드러우며, edge 보존이 가능하고 Low frequency pass filter로 용이하다.
*noise나 edge는 일반적으로 high contrast를 보여, High frequency이다.
Mean filter도 LFP 중 하나이지만, ringing effect를 야기하는 단점이 있다.
Median Filter
Speckle noise(salt&pepper) 제거에 용이하다. Average filter보다 detail을 잘 살리기도 한다.
Filter 내의 Intensity를 sorting하여, 그 중 median을 새로운 Intensity로 사용한다. 이 때문에, filter의 shape와 size가 결과에 큰 영향을 미친다.
대표적인 nonlinear filter이다. Frequency domain에서 사용이 불가능하다.
neighborhood와 유사해짐에 따라, 과감하게 data loss가 일어날 수 있다. Filter만 보더라도, MxM filter일 때, $m^{2}/2$보다 적은 수의 Intensity는 제거되기 때문이다.
* Min/Max filter도 있다.
Sharpeing Spatial Filter

highlight transition(noise가 강조되기도 함)
edge and intensity discontinuous 강조
slowly varing intensity blur
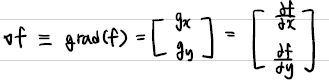
Derivate in Image



$1^{st}$ derivate, Sobel Operator

x, y축 방향으로 2개만 사용해서 2x2 size mask를 이용해야 하는데, 짝수 mask를 사용하게 되면 불편한 점이 많다. 이를 대신하고자 만든 것이 3x3 sobel mask이다.
Smallest mask이며, approximation을 이용한다.


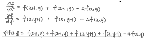
$2^{nd}$ derivate, Laplacian Operators

Laplacian operators의 mask는 다음과 같다.

Power Law Transformation
some basic intensity transformation exists

Log를 예를 들어 설명하자면, Image를 log처리 하면, 어두운 영역에서는 Intensity 차이가 커져서 contrast가 커지게 되고, 밝은 영역에서는 Intensity 차이가 작아져서 contrast가 작아지게 된다.
Summary

'Study > Computer Vision' 카테고리의 다른 글
| 6. Bayes Classifier (0) | 2023.05.10 |
|---|---|
| 5. Object Recognition (0) | 2023.05.10 |
| 4. Segmentation (0) | 2023.05.10 |
| 3. Filtering in Frequency Domain (0) | 2023.05.10 |
| 1. Image Intensity (0) | 2023.05.10 |